Официальное опубликование правовых актов
ОФИЦИАЛЬНОЕ ОПУБЛИКОВАНИЕ
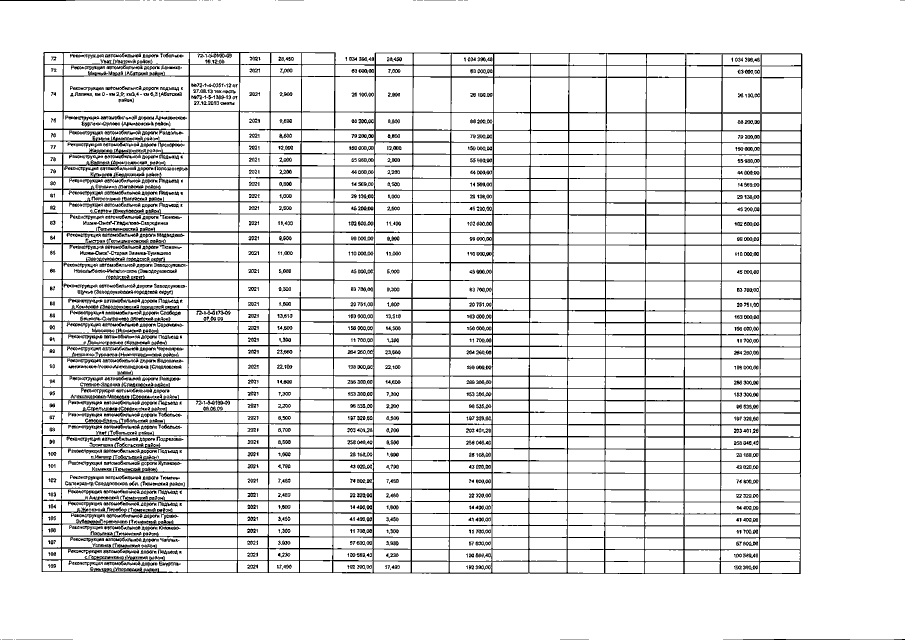
Постановление Правительства Тюменской области от 11.06.2015 № 254-п
"О внесении изменений в постановление от 30.12.2014 № 701-п"
Номер опубликования: 7200201506180008
Дата опубликования: 18.06.2015
Страница №53 из 56:
Увеличить