Официальное опубликование правовых актов
ОФИЦИАЛЬНОЕ ОПУБЛИКОВАНИЕ
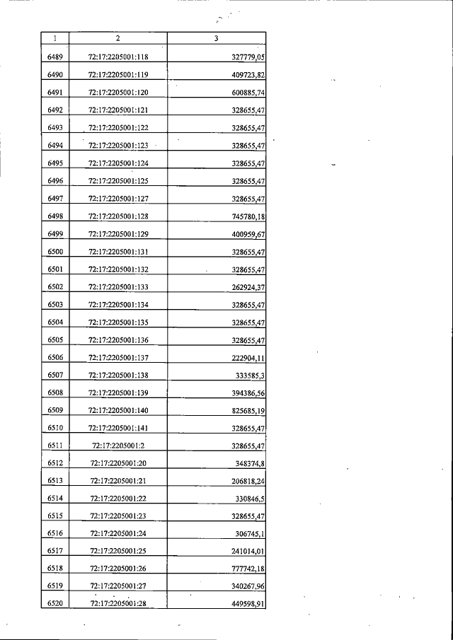
Постановление Правительства Тюменской области от 18.11.2014 № 588-п
"Об утверждении результатов определения кадастровой стоимости земель населенных пунктов Тюменской области и о внесении изменений в постановление от 02.12.2013 № 530-п"
Номер опубликования: 7200201411240013
Дата опубликования: 24.11.2014
Страница №206 из 872:
Увеличить