Официальное опубликование правовых актов
ОФИЦИАЛЬНОЕ ОПУБЛИКОВАНИЕ
Приказ Комитета Тульской области по архитектуре и градостроительству от 05.03.2026 № 37
"О внесении изменений и дополнения в правила землепользования и застройки муниципального образования город Узловая Узловского района, утверждённые постановлением администрации муниципального образования город Узловая Узловского района от 26.12.2023 № 2144"
(Зарегистрирован 05.03.2026 № 37)
Номер опубликования: 7101202603060002
Дата опубликования: 06.03.2026
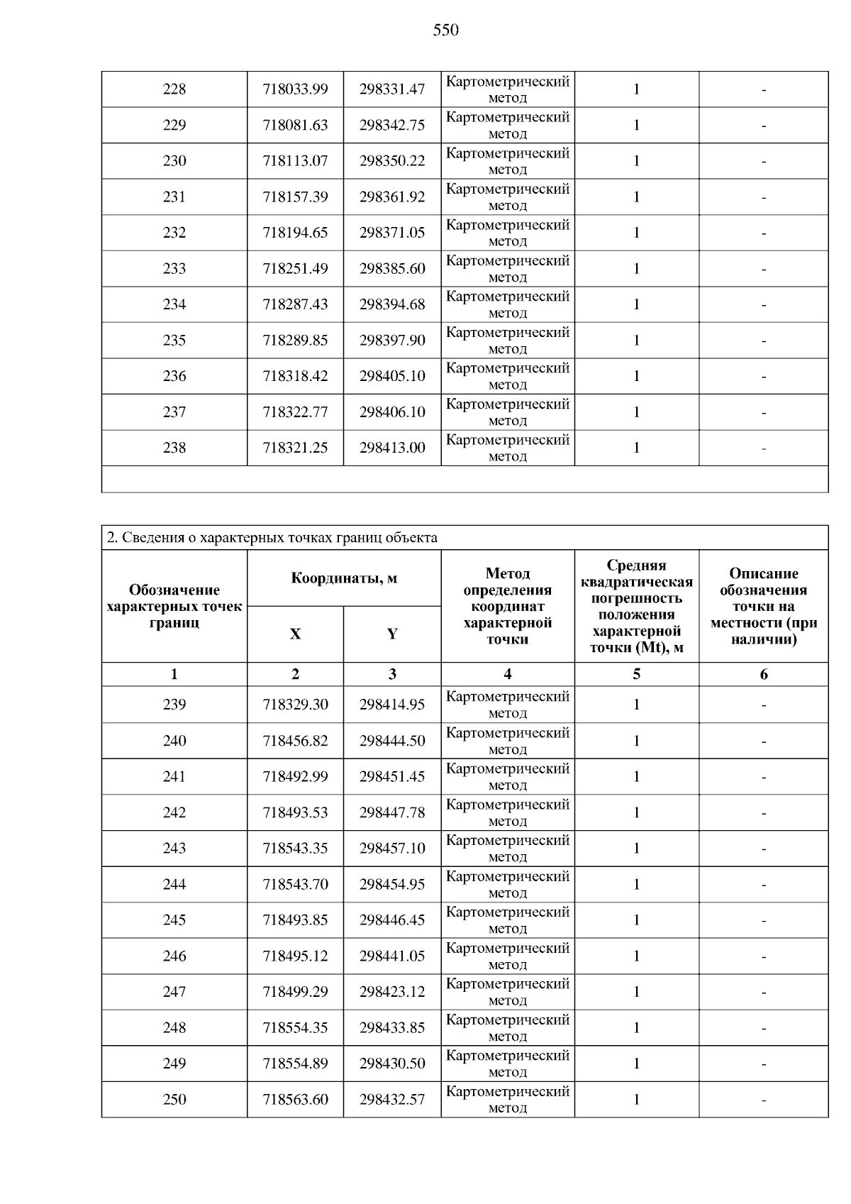
Страница №600 из 1018:
Увеличить