Официальное опубликование правовых актов
ОФИЦИАЛЬНОЕ ОПУБЛИКОВАНИЕ
Приказ Комитета Тульской области по архитектуре и градостроительству от 09.02.2026 № 31
"О внесении изменений и дополнения в правила землепользования и застройки муниципального образования рабочий поселок Арсеньево Арсеньевского района, утверждённые постановлением администрации муниципального образования Арсеньевский район от 21.06.2023 № 213"
(Зарегистрирован 09.02.2026 № 31)
Номер опубликования: 7101202602110004
Дата опубликования: 11.02.2026
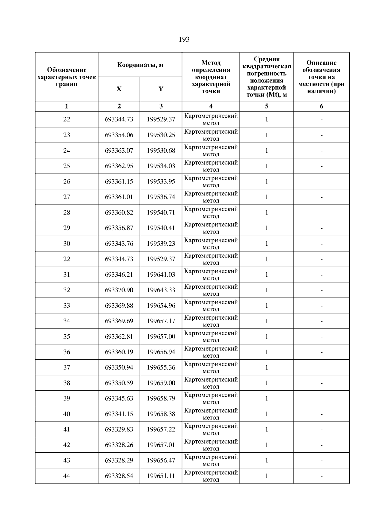
Страница №242 из 264:
Увеличить