Официальное опубликование правовых актов
ОФИЦИАЛЬНОЕ ОПУБЛИКОВАНИЕ
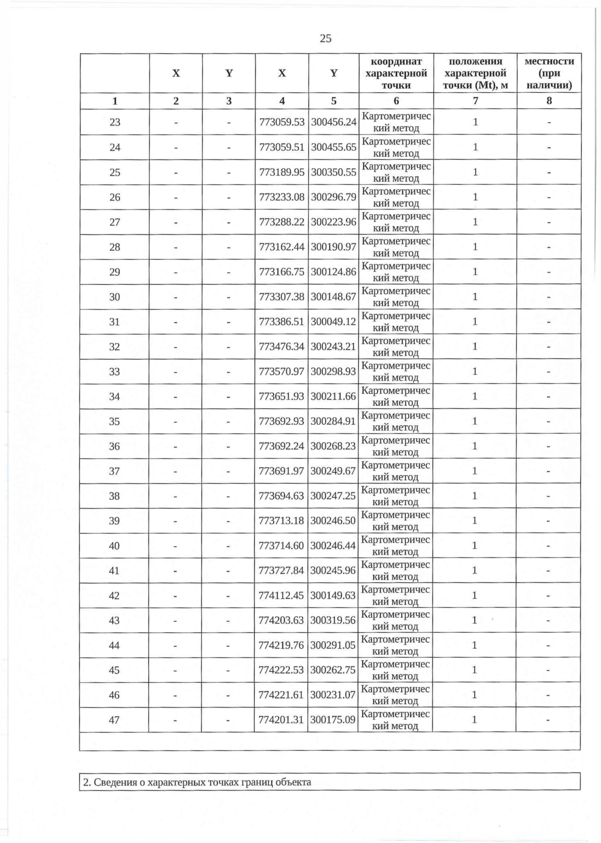
Приказ Комитета Тульской области по архитектуре и градостроительству от 05.02.2026 № 26
"О внесении изменений и дополнения в генеральный план муниципального образования Центральное Веневского района, утверждённый решением Собрания представителей муниципального образования Веневский район от 27.02.2020 № 23/140"
(Зарегистрирован 05.02.2026 № 26)
Номер опубликования: 7101202602100005
Дата опубликования: 10.02.2026
Страница №36 из 82:
Увеличить