Официальное опубликование правовых актов
ОФИЦИАЛЬНОЕ ОПУБЛИКОВАНИЕ
Приказ Министерства сельского хозяйства, природных ресурсов и экологии Тульской области от 30.01.2026 № 47-ОД
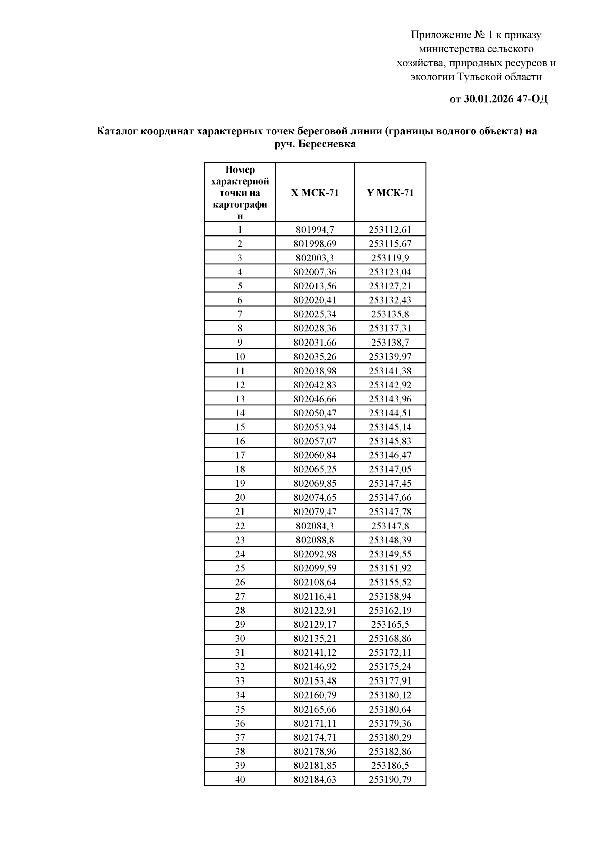
"Об утверждении каталогов координат береговых линий (границ водных объектов), границ водоохранных зон и границ прибрежных защитных полос руч. Бересневка на территории Тульской области"
(Зарегистрирован 30.01.2026 № 47-ОД)
Номер опубликования: 7101202602060009
Дата опубликования: 06.02.2026
Страница №2 из 204:
Увеличить