Официальное опубликование правовых актов
ОФИЦИАЛЬНОЕ ОПУБЛИКОВАНИЕ
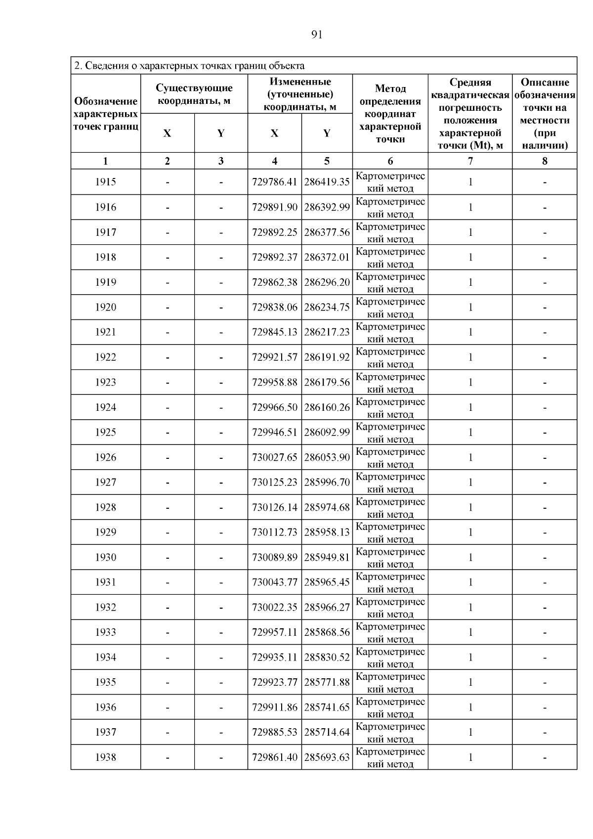
Приказ Комитета Тульской области по архитектуре и градостроительству от 26.12.2025 № 169
"О внесении изменений и дополнений в правила землепользования и застройки муниципального образования Шварцевское Киреевского района, утверждённые решением Собрания представителей муниципального образования Киреевский район от 23 декабря 2016 года № 46-250"
(Зарегистрирован 26.12.2025 № 169)
Номер опубликования: 7101202512300024
Дата опубликования: 30.12.2025
Страница №143 из 380:
Увеличить