Официальное опубликование правовых актов
ОФИЦИАЛЬНОЕ ОПУБЛИКОВАНИЕ
Приказ Министерства сельского хозяйства, природных ресурсов и экологии Тульской области от 23.12.2025 № 496-ОД
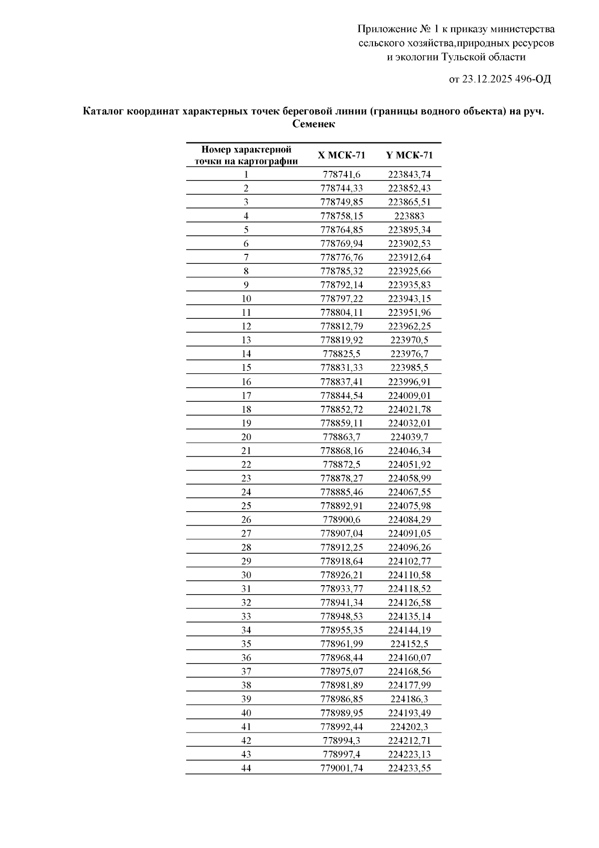
"Об утверждении каталогов координат береговых линий (границ водных объектов), границ водоохранных зон и границ прибрежных защитных полос руч. Семенек на территории Тульской области"
(Зарегистрирован 23.12.2025 № 496-ОД)
Номер опубликования: 7101202512300005
Дата опубликования: 30.12.2025
Страница №2 из 54:
Увеличить