Официальное опубликование правовых актов
ОФИЦИАЛЬНОЕ ОПУБЛИКОВАНИЕ
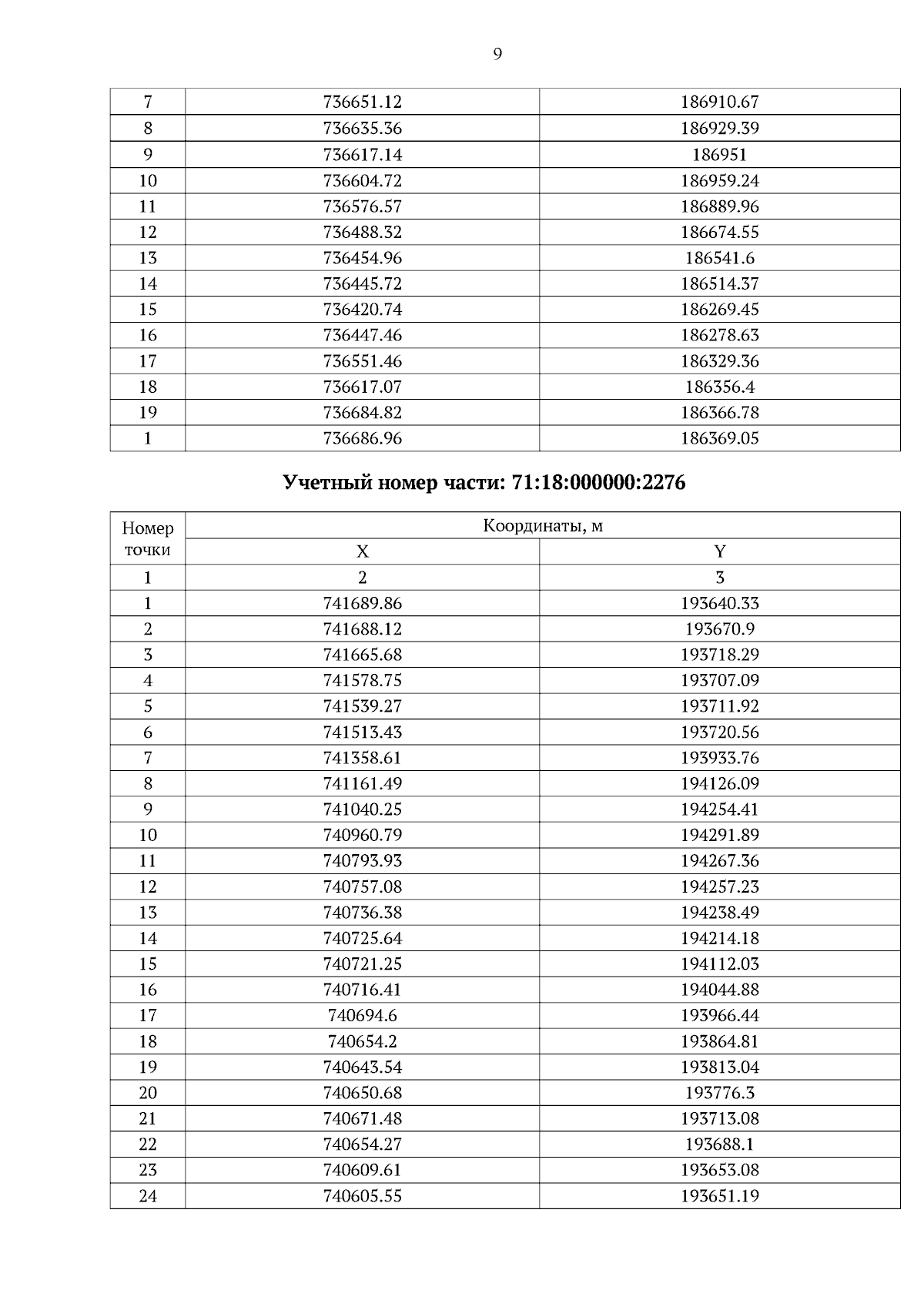
Приказ Министерства сельского хозяйства, природных ресурсов и экологии Тульской области от 14.11.2025 № 409-ОД
"Об установлении границ лесопаркового зеленого пояса города Суворова Суворовского района Тульской области"
(Зарегистрирован 14.11.2025 № 409-ОД)
Номер опубликования: 7101202511190014
Дата опубликования: 19.11.2025
Страница №10 из 20:
Увеличить