Официальное опубликование правовых актов
ОФИЦИАЛЬНОЕ ОПУБЛИКОВАНИЕ
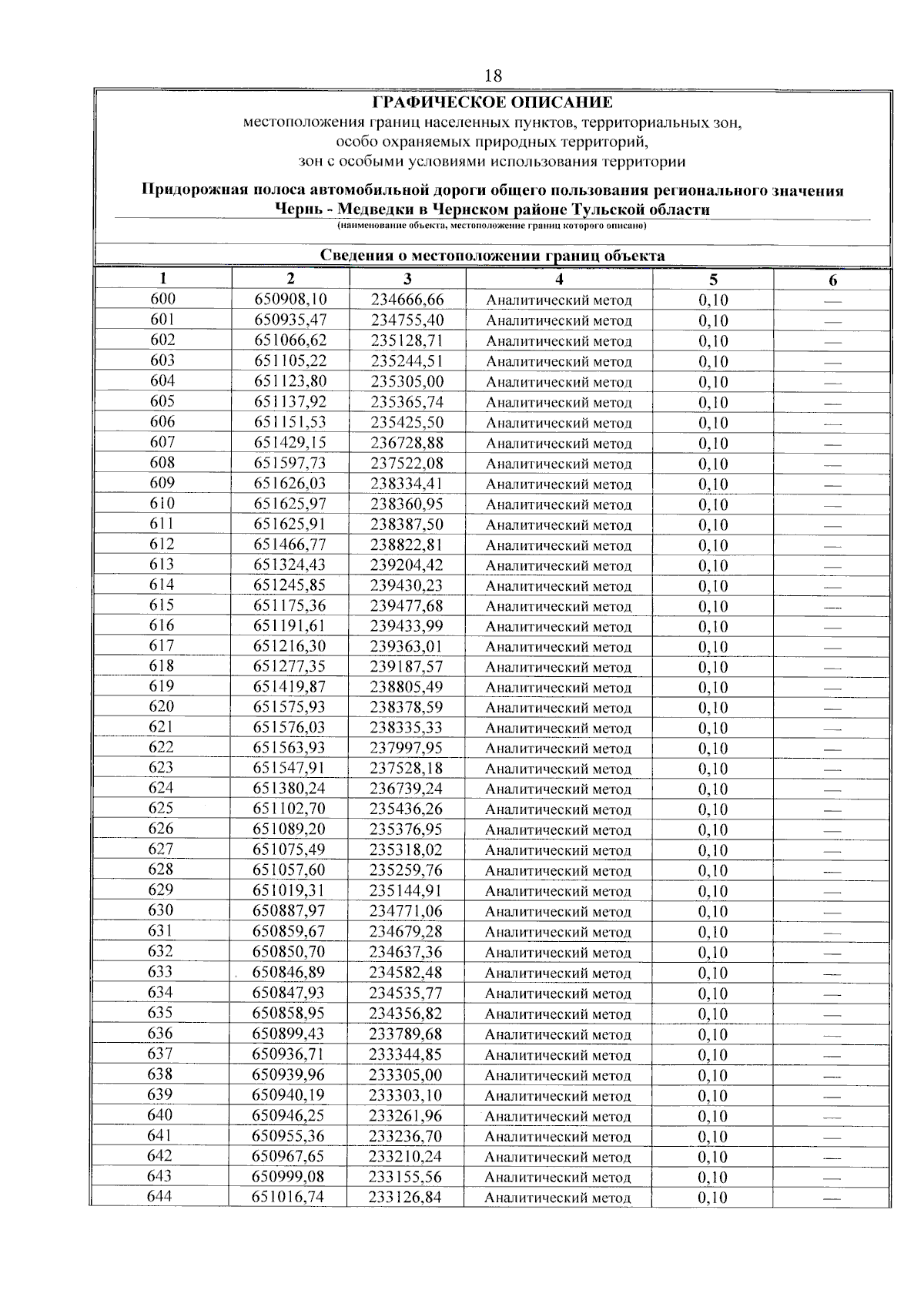
Приказ Министерства транспорта и дорожного хозяйства Тульской области от 10.11.2025 № 275
"Об установлении придорожных полос автомобильной дороги общего пользования регионального значения Чернь - Медведки, расположенной в границах Чернского района Тульской области"
(Зарегистрирован 10.11.2025 № 275)
Номер опубликования: 7101202511140014
Дата опубликования: 14.11.2025
Страница №20 из 89:
Увеличить