Официальное опубликование правовых актов
ОФИЦИАЛЬНОЕ ОПУБЛИКОВАНИЕ
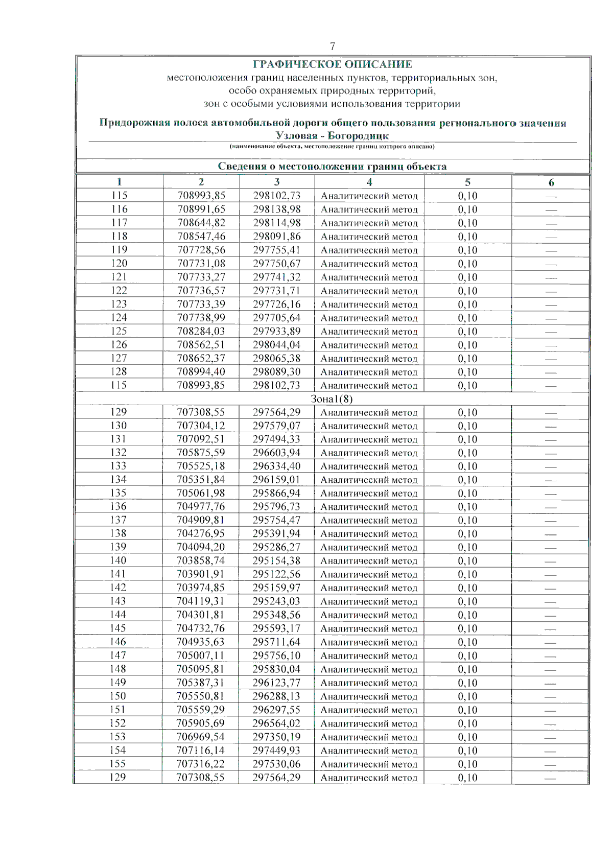
Приказ Министерства транспорта и дорожного хозяйства Тульской области от 30.10.2025 № 268
"Об установлении придорожных полос автомобильной дороги общего пользования регионального значения Узловая - Богородицк"
(Зарегистрирован 30.10.2025 № 268)
Номер опубликования: 7101202511050005
Дата опубликования: 05.11.2025
Страница №9 из 30:
Увеличить