Официальное опубликование правовых актов
ОФИЦИАЛЬНОЕ ОПУБЛИКОВАНИЕ
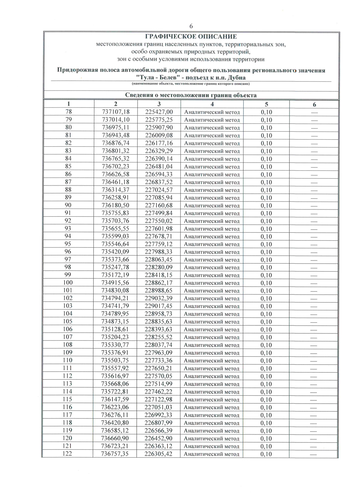
Приказ Министерства транспорта и дорожного хозяйства Тульской области от 30.10.2025 № 269
"Об установлении придорожных полос автомобильной дороги общего пользования регионального значения "Тула – Белев" - подъезд к н.п. Дубна"
(Зарегистрирован 30.10.2025 № 269)
Номер опубликования: 7101202511050003
Дата опубликования: 05.11.2025
Страница №8 из 29:
Увеличить