Официальное опубликование правовых актов
ОФИЦИАЛЬНОЕ ОПУБЛИКОВАНИЕ
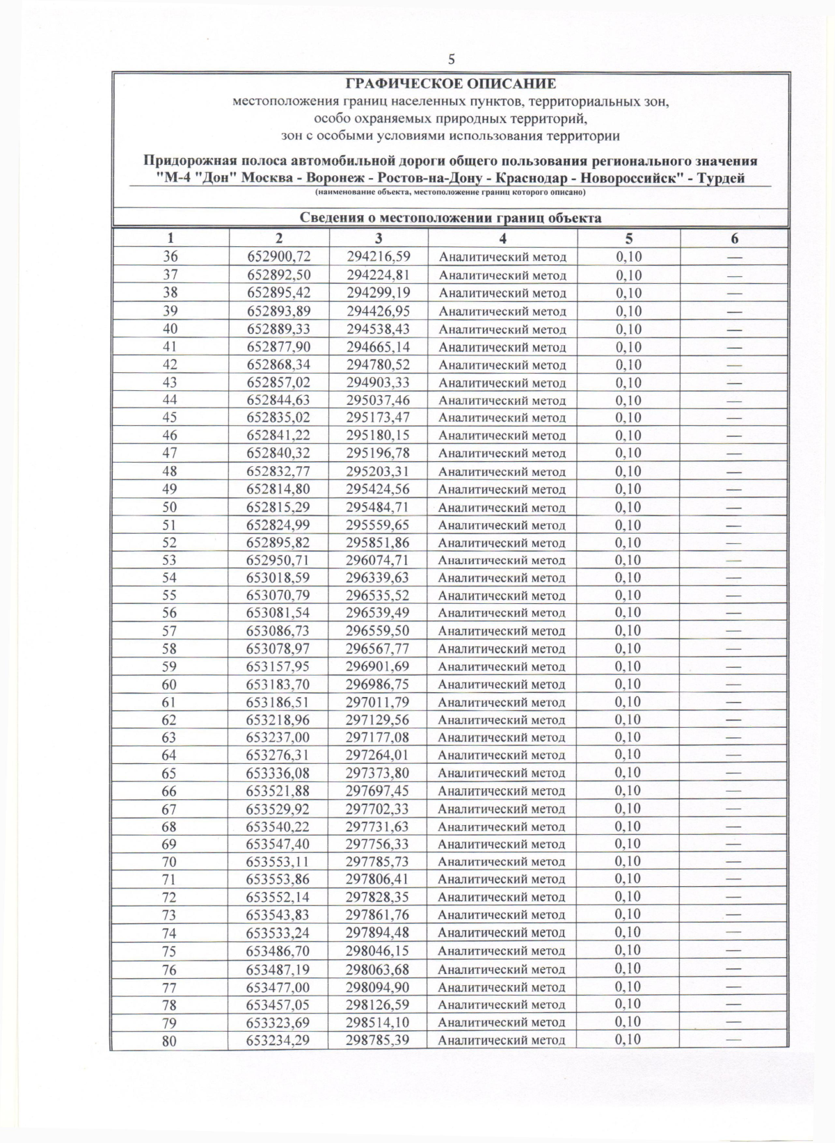
Приказ Министерства транспорта и дорожного хозяйства Тульской области от 17.10.2025 № 256
"Об установлении придорожных полос автомобильной дороги общего пользования регионального значения "М-4 "Дон" Москва - Воронеж - Ростов-на-Дону - Краснодар - Новороссийск" - Турдей"
(Зарегистрирован 17.10.2025 № 256)
Номер опубликования: 7101202510240003
Дата опубликования: 24.10.2025
Страница №7 из 28:
Увеличить