Официальное опубликование правовых актов
ОФИЦИАЛЬНОЕ ОПУБЛИКОВАНИЕ
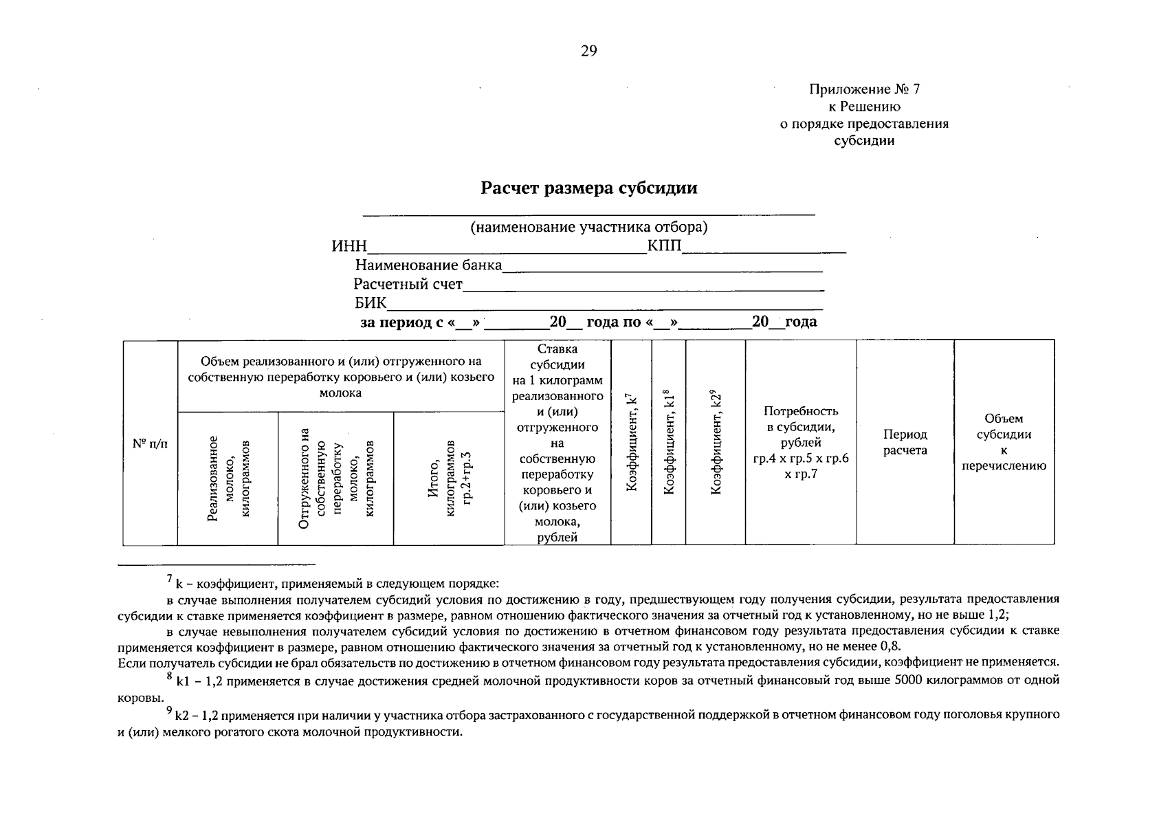
Приказ Министерства сельского хозяйства, природных ресурсов и экологии Тульской области от 07.10.2025 № 334-ОД
"О внесении изменений в приказ министерства сельского хозяйства, природных ресурсов и экологии Тульской области от 01.07.2025 № 168-ОД"
(Зарегистрирован 07.10.2025 № 334-ОД)
Номер опубликования: 7101202510090002
Дата опубликования: 09.10.2025
Страница №30 из 43:
Увеличить