Официальное опубликование правовых актов
ОФИЦИАЛЬНОЕ ОПУБЛИКОВАНИЕ
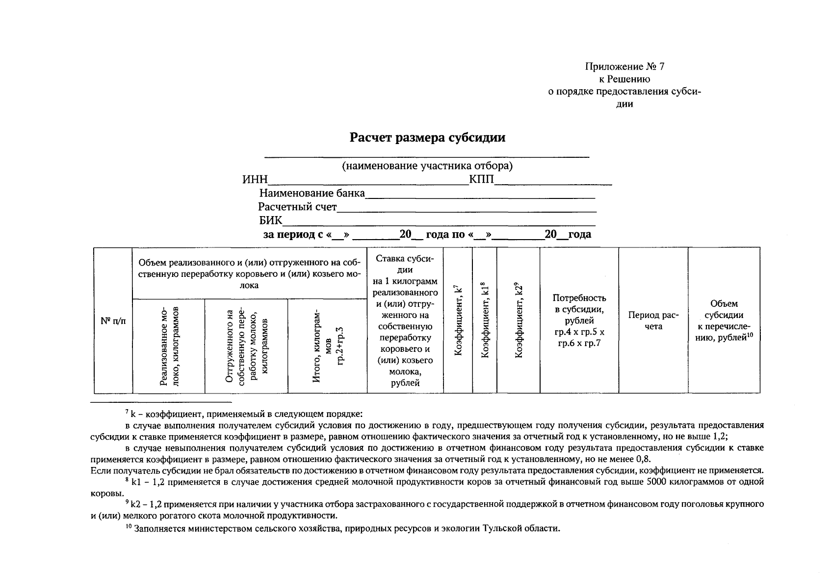
Приказ Министерства сельского хозяйства, природных ресурсов и экологии Тульской области от 01.07.2025 № 168-ОД
"Об утверждении решения о порядке предоставления субсидии на поддержку отрасли животноводства"
(Зарегистрирован 01.07.2025 № 168-ОД)
Номер опубликования: 7101202507040001
Дата опубликования: 04.07.2025
Страница №28 из 32:
Увеличить