Официальное опубликование правовых актов
ОФИЦИАЛЬНОЕ ОПУБЛИКОВАНИЕ
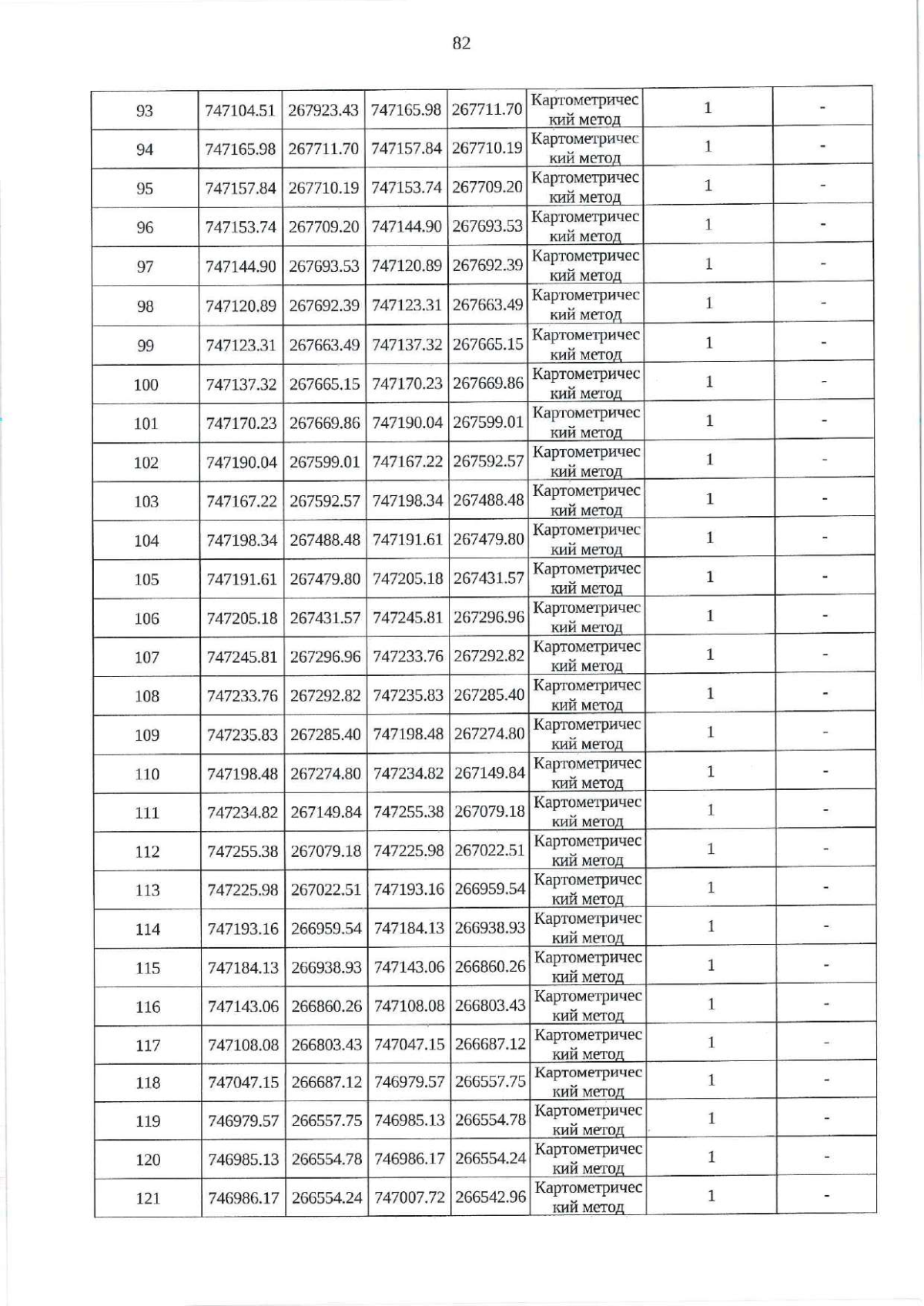
Приказ Комитета Тульской области по архитектуре и градостроительству от 19.06.2025 № 70
"О внесении изменений и дополнений в правила землепользования и застройки муниципального образования городской округ город Тула, утверждённые постановлением администрации города Тулы от 24.02.2021 № 312"
(Зарегистрирован 19.06.2025 № 70)
Номер опубликования: 7101202506200003
Дата опубликования: 20.06.2025
Страница №89 из 107:
Увеличить