Официальное опубликование правовых актов
ОФИЦИАЛЬНОЕ ОПУБЛИКОВАНИЕ
Приказ Комитета Тульской области по архитектуре и градостроительству от 26.03.2025 № 21
"О внесении изменений в генеральный план муниципального образования город Тула, утверждённый решением Тульской городской Думы от 23.12.2016 № 33/838"
(Зарегистрирован 26.03.2025 № 21)
Номер опубликования: 7101202504020003
Дата опубликования: 02.04.2025
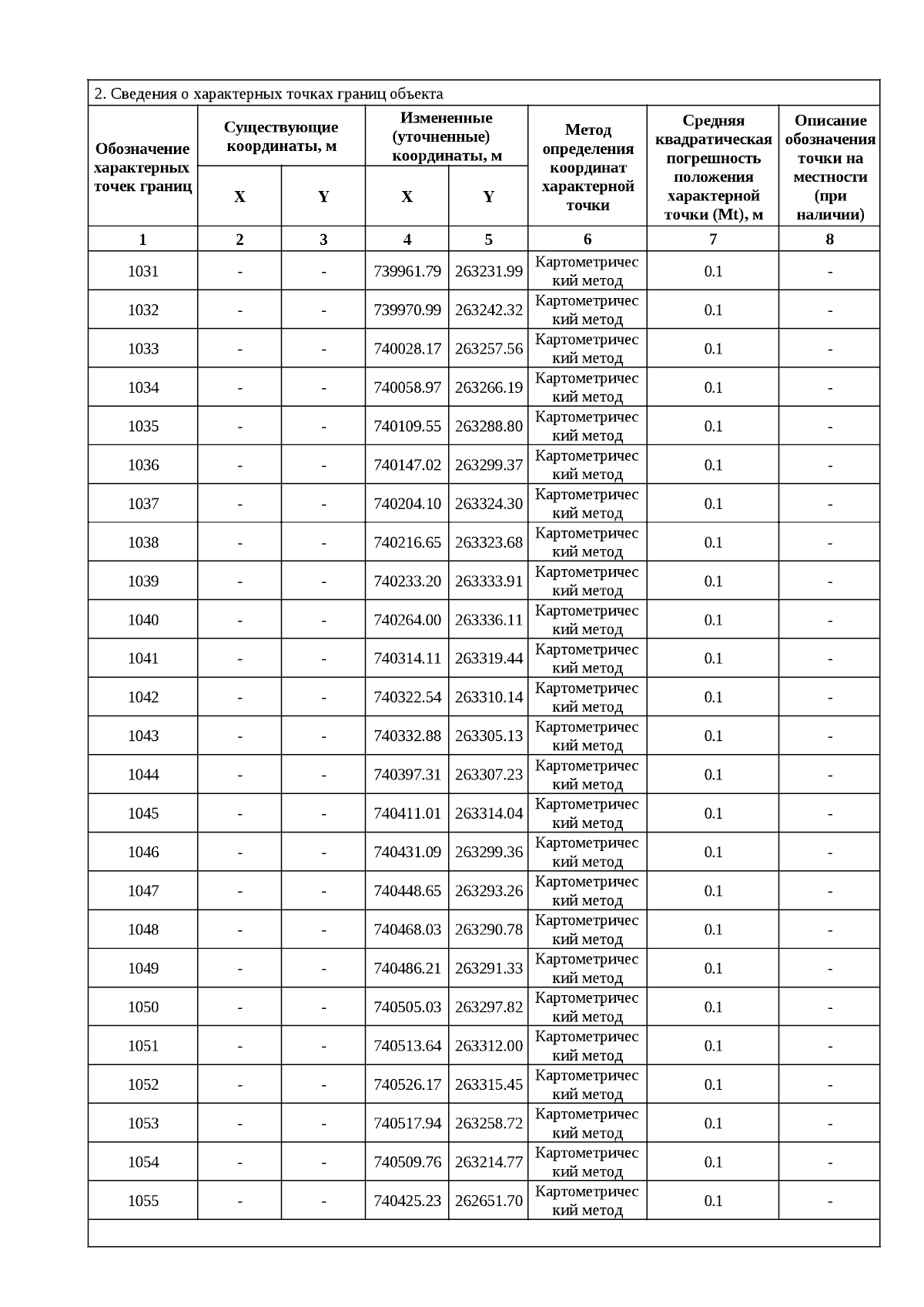
Страница №57 из 276:
Увеличить