Приказ Министерства сельского хозяйства Тульской области от 24.07.2024 № 64-осн
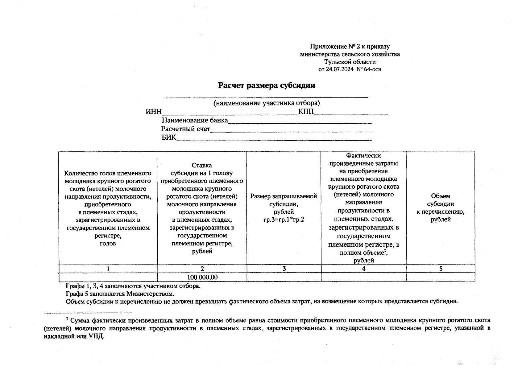
"О реализации постановления Правительства Тульской области от 15.07.2024 № 336 "Об утверждении Порядка предоставления из бюджета Тульской области субсидий на поддержку отрасли животноводства" по возмещению части затрат на приобретение племенного молодняка крупного рогатого скота (нетелей) молочного направления продуктивности в племенных стадах, зарегистрированных в государственном племенном регистре"
(Зарегистрирован 24.07.2024 № 64-осн)
"О реализации постановления Правительства Тульской области от 15.07.2024 № 336 "Об утверждении Порядка предоставления из бюджета Тульской области субсидий на поддержку отрасли животноводства" по возмещению части затрат на приобретение племенного молодняка крупного рогатого скота (нетелей) молочного направления продуктивности в племенных стадах, зарегистрированных в государственном племенном регистре"
(Зарегистрирован 24.07.2024 № 64-осн)
Номер опубликования: 7101202407260001
Дата опубликования:
26.07.2024
