Официальное опубликование правовых актов
ОФИЦИАЛЬНОЕ ОПУБЛИКОВАНИЕ
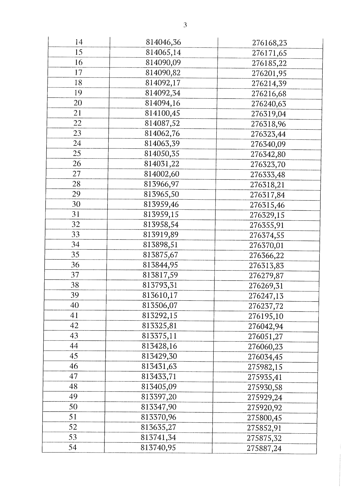
Приказ Инспекции Тульской области по государственной охране объектов культурного наследия от 28.06.2024 № 64
"Об утверждении границ территорий отдельных объектов культурного наследия, расположенных в Ясногорском районе Тульской области"
(Зарегистрирован 28.06.2024 № 64)
Номер опубликования: 7101202407030001
Дата опубликования: 03.07.2024
Страница №23 из 102:
Увеличить