Официальное опубликование правовых актов
ОФИЦИАЛЬНОЕ ОПУБЛИКОВАНИЕ
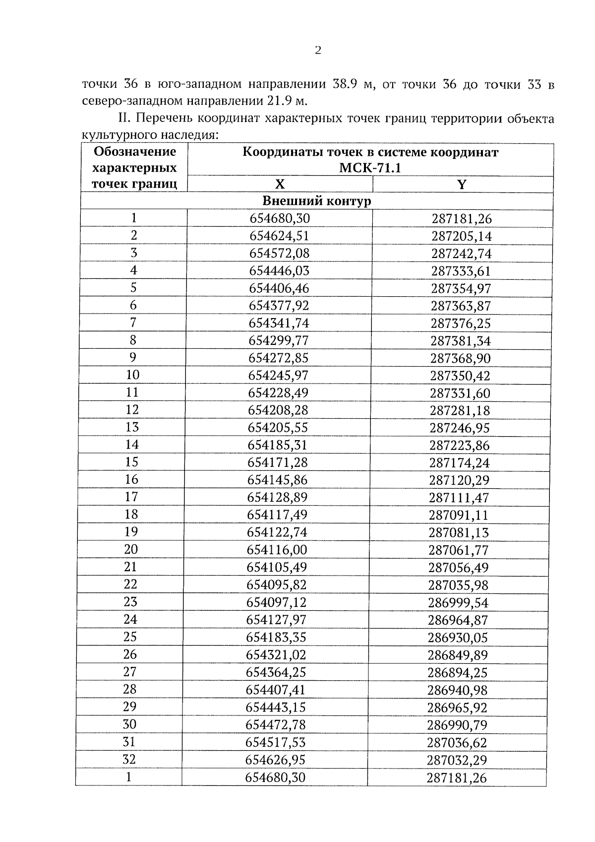
Приказ Инспекции Тульской области по государственной охране объектов культурного наследия от 18.06.2024 № 59
"Об утверждении границ территорий отдельных объектов культурного наследия, расположенных в Воловском районе Тульской области"
(Зарегистрирован 18.06.2024 № 59)
Номер опубликования: 7101202406200002
Дата опубликования: 20.06.2024
Страница №29 из 44:
Увеличить