Официальное опубликование правовых актов
ОФИЦИАЛЬНОЕ ОПУБЛИКОВАНИЕ
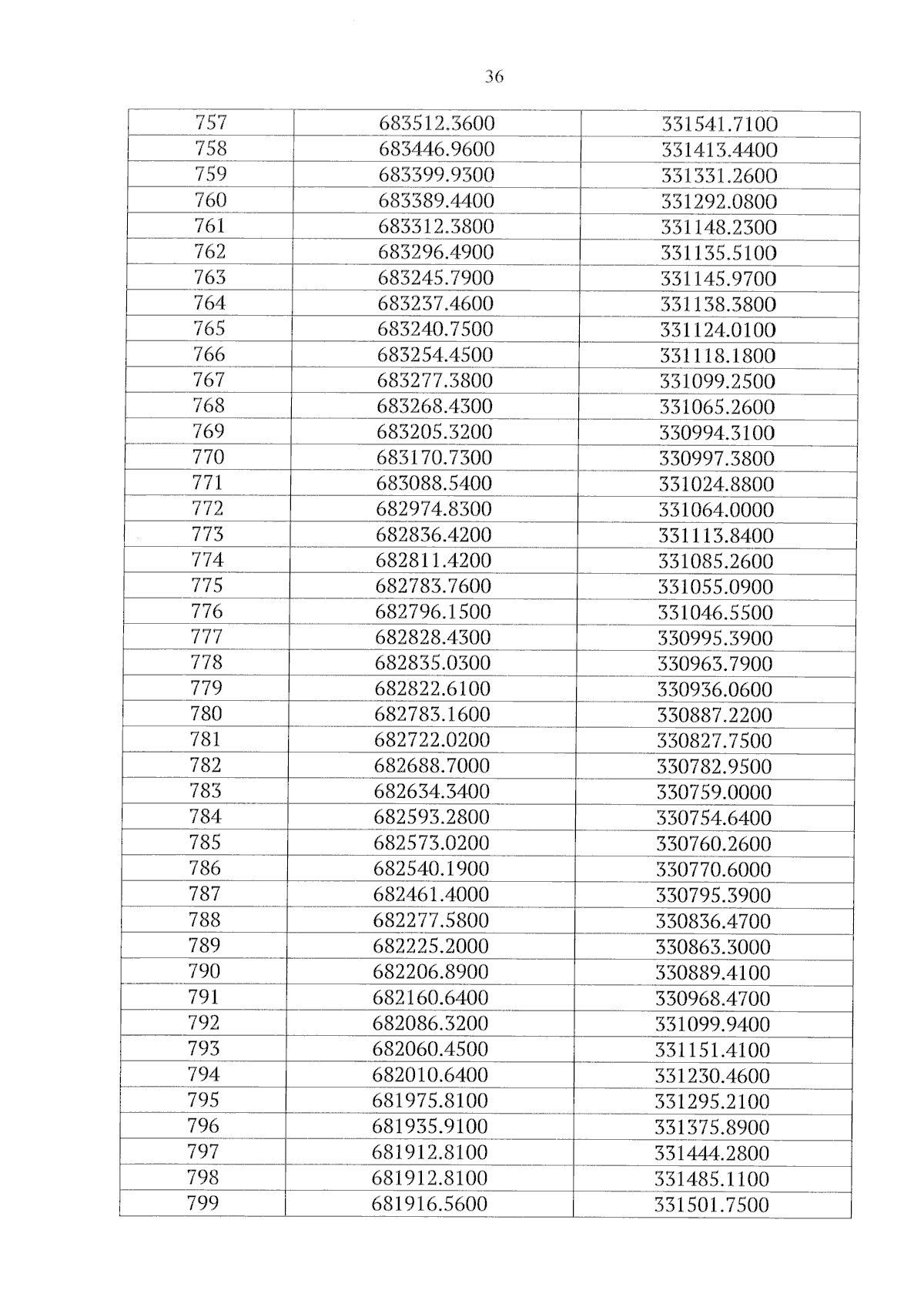
Приказ Инспекции Тульской области по государственной охране объектов культурного наследия от 08.09.2023 № 93
"Об утверждении границ территорий отдельных объектов культурного наследия федерального значения, расположенных на территории Куркинского района Тульской области"
(Зарегистрирован 08.09.2023 № 93)
Номер опубликования: 7101202309120001
Дата опубликования: 12.09.2023
Страница №64 из 124:
Увеличить