Официальное опубликование правовых актов
ОФИЦИАЛЬНОЕ ОПУБЛИКОВАНИЕ
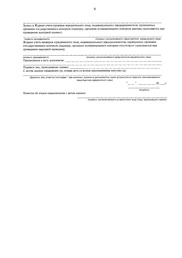
Приказ Министерства промышленности и торговли Тульской области от 08.06.2022 № 110
"Об утверждении форм документов, используемых в процессе лицензирования деятельности по заготовке, хранению, переработке и реализации лома черных металлов, цветных металлов"
Номер опубликования: 7101202206110005
Дата опубликования: 11.06.2022
Страница №17 из 21:
Увеличить