Официальное опубликование правовых актов
ОФИЦИАЛЬНОЕ ОПУБЛИКОВАНИЕ
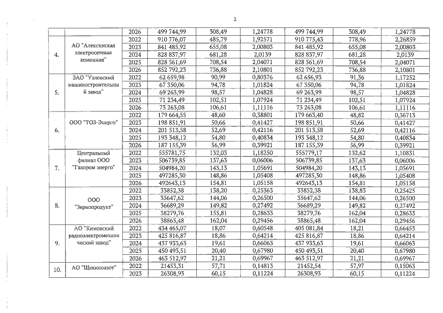
Постановление Комитета Тульской области по тарифам от 23.12.2021 № 53/2
"Об утверждении отдельных тарифов (иных показателей) на регулируемые виды деятельности для организаций, оказывающих услуги по передаче электрической энергии на территории Тульской области"
Номер опубликования: 7101202112280002
Дата опубликования: 28.12.2021
Страница №47 из 79:
Увеличить