Официальное опубликование правовых актов
ОФИЦИАЛЬНОЕ ОПУБЛИКОВАНИЕ
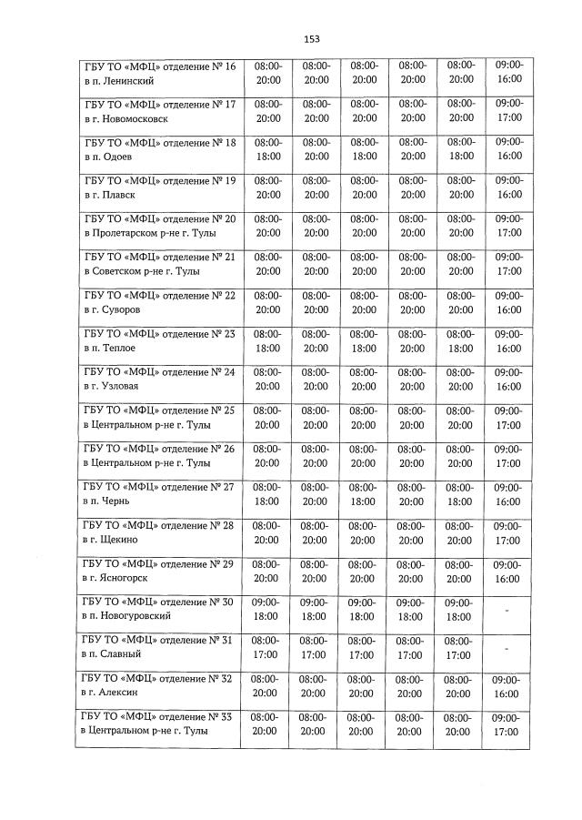
Приказ Министерства труда и социальной защиты Тульской области от 04.03.2019 № 121-осн
"О внесении изменений и дополнений в отдельные приказы министерства труда и социальной защиты Тульской области"
Номер опубликования: 7101201903070001
Дата опубликования: 07.03.2019
Страница №153 из 170:
Увеличить