Официальное опубликование правовых актов
ОФИЦИАЛЬНОЕ ОПУБЛИКОВАНИЕ
Приказ Министерства труда и социальной защиты Тульской области от 19.10.2017 № 498-осн
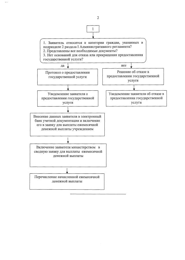
"Об утверждении административного регламента предоставления государственной услуги "Предоставление дополнительных мер социальной поддержки семьям с детьми в Тульской области"
Номер опубликования: 7101201710230004
Дата опубликования: 23.10.2017
Страница №45 из 52:
Увеличить