Официальное опубликование правовых актов
ОФИЦИАЛЬНОЕ ОПУБЛИКОВАНИЕ
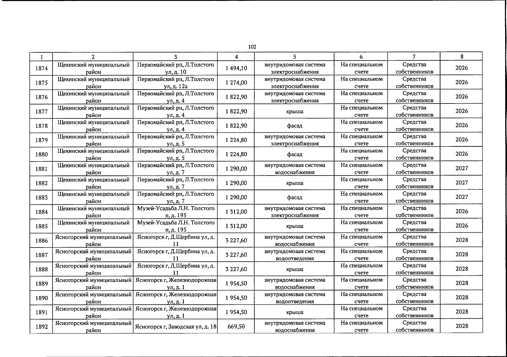
Постановление Правительства Тульской области от 10.03.2026 № 119
"О внесении изменений и дополнений в постановление Правительства Тульской области от 28.02.2025 № 112"
Номер опубликования: 7100202603130001
Дата опубликования: 13.03.2026
Страница №588 из 589:
Увеличить