Официальное опубликование правовых актов
ОФИЦИАЛЬНОЕ ОПУБЛИКОВАНИЕ
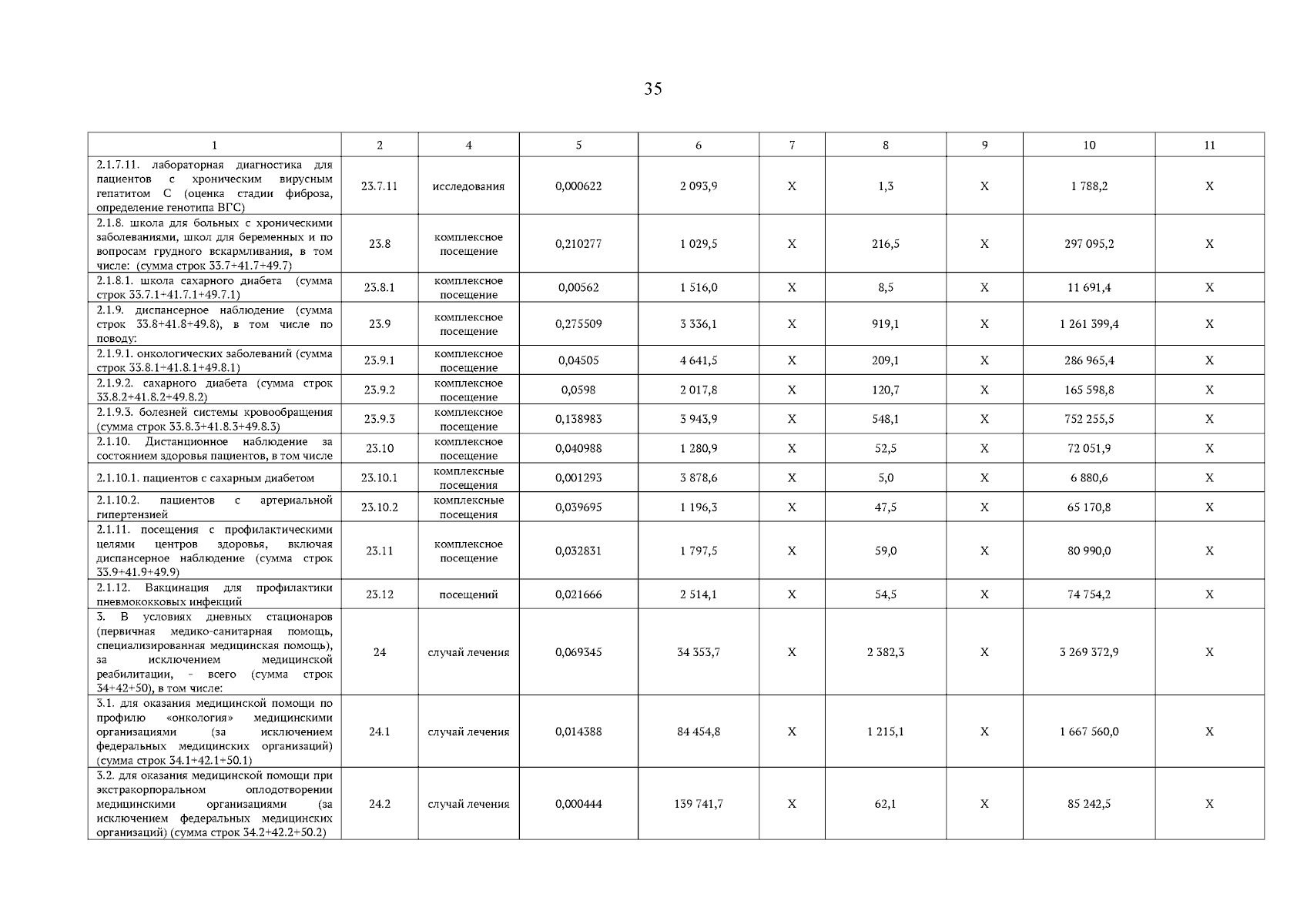
Постановление Правительства Тульской области от 30.12.2025 № 882
"О территориальной Программе государственных гарантий бесплатного оказания населению Тульской области медицинской помощи на 2026 год и на плановый период 2027 и 2028 годов"
Номер опубликования: 7100202512300020
Дата опубликования: 30.12.2025
Страница №162 из 403:
Увеличить