Официальное опубликование правовых актов
ОФИЦИАЛЬНОЕ ОПУБЛИКОВАНИЕ
Постановление Правительства Тульской области от 30.12.2025 № 869
"О внесении изменений в постановление правительства Тульской области от 25.02.2022 № 104"
Номер опубликования: 7100202512300004
Дата опубликования: 30.12.2025
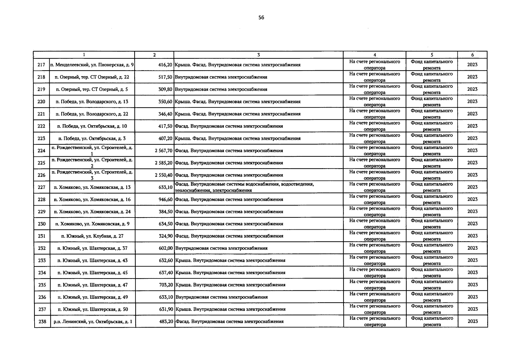
Страница №57 из 148:
Увеличить