Официальное опубликование правовых актов
ОФИЦИАЛЬНОЕ ОПУБЛИКОВАНИЕ
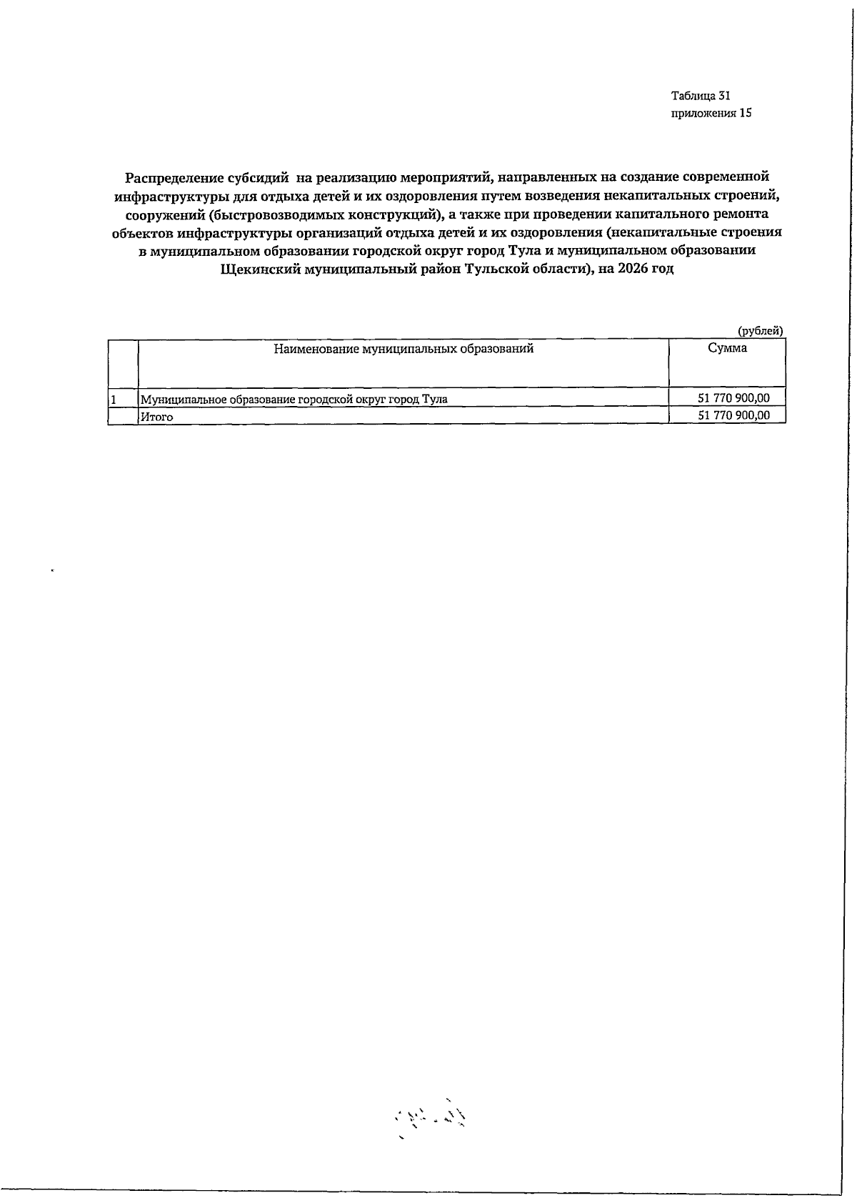
Закон Тульской области от 19.12.2025 № 106-ЗТО
"О бюджете Тульской области на 2026 год и на плановый период 2027 и 2028 годов"
Номер опубликования: 7100202512220020
Дата опубликования: 22.12.2025
Страница №1185 из 1334:
Увеличить