Официальное опубликование правовых актов
ОФИЦИАЛЬНОЕ ОПУБЛИКОВАНИЕ
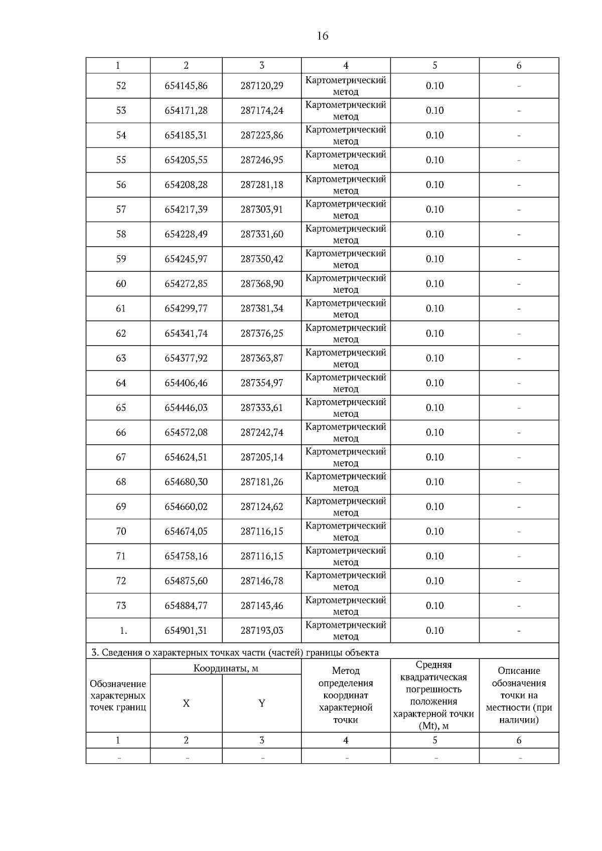
Постановление Правительства Тульской области от 24.02.2025 № 91
"Об установлении объединенной зоны охраны объектов культурного наследия, расположенных в с. Рождествено Воловского района Тульской области, и утверждении требований к градостроительным регламентам в границах территории данной зоны"
Номер опубликования: 7100202502270009
Дата опубликования: 27.02.2025
Страница №18 из 24:
Увеличить