Официальное опубликование правовых актов
ОФИЦИАЛЬНОЕ ОПУБЛИКОВАНИЕ
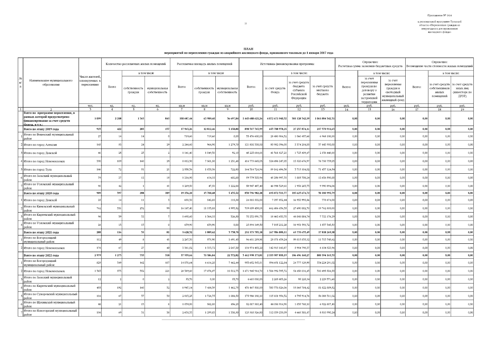
Постановление Правительства Тульской области от 07.02.2025 № 61
"О внесении изменения в постановление правительства Тульской области от 29.12.2018 № 598"
Номер опубликования: 7100202502100005
Дата опубликования: 10.02.2025
Страница №34 из 36:
Увеличить