Официальное опубликование правовых актов
ОФИЦИАЛЬНОЕ ОПУБЛИКОВАНИЕ
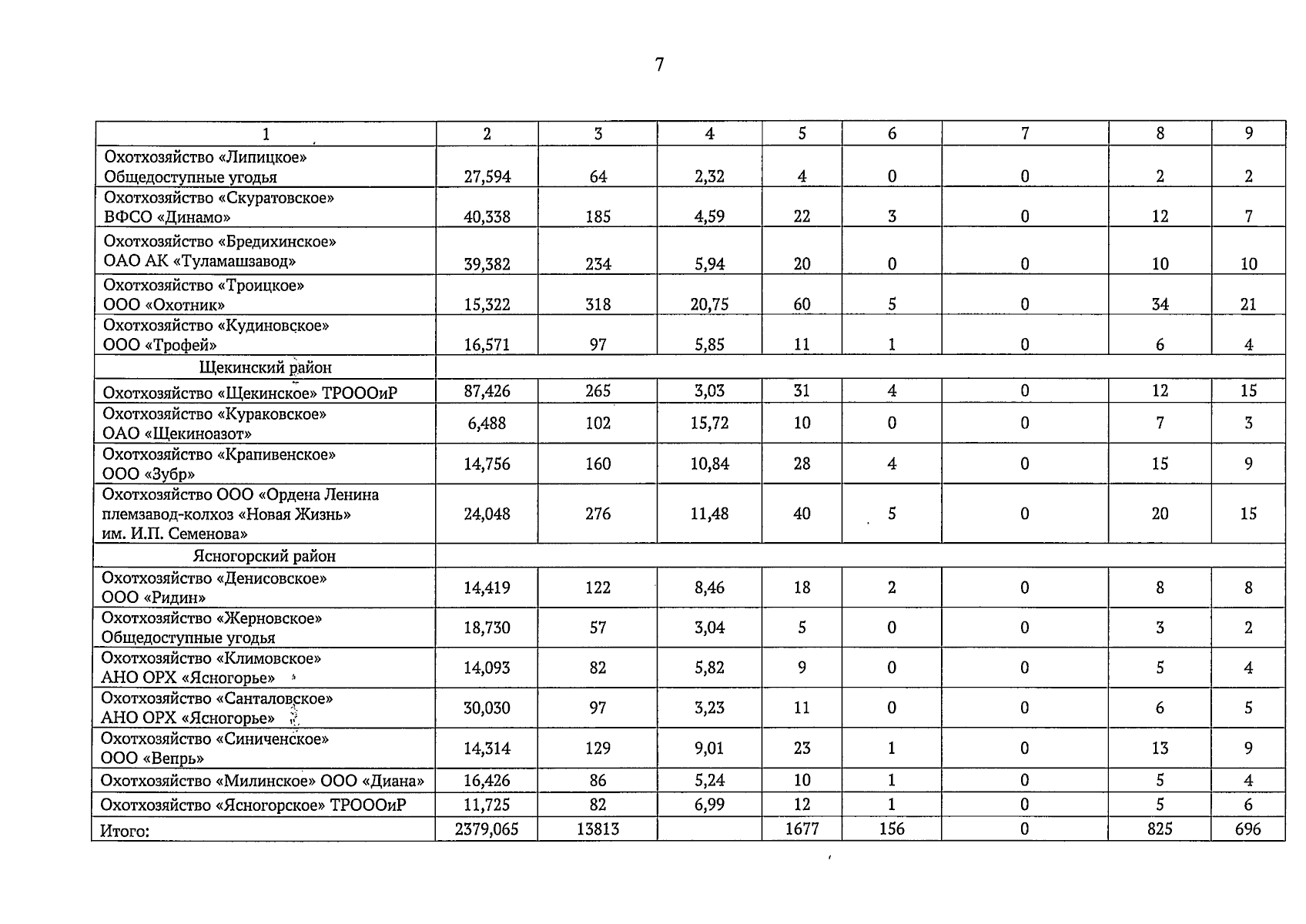
Указ Губернатора Тульской области от 05.07.2024 № 61
"Об утверждении лимитов и квот добычи охотничьих ресурсов на сезон охоты 2024-2025 годов"
Номер опубликования: 7100202407050005
Дата опубликования: 05.07.2024
Страница №10 из 26:
Увеличить