Официальное опубликование правовых актов
ОФИЦИАЛЬНОЕ ОПУБЛИКОВАНИЕ
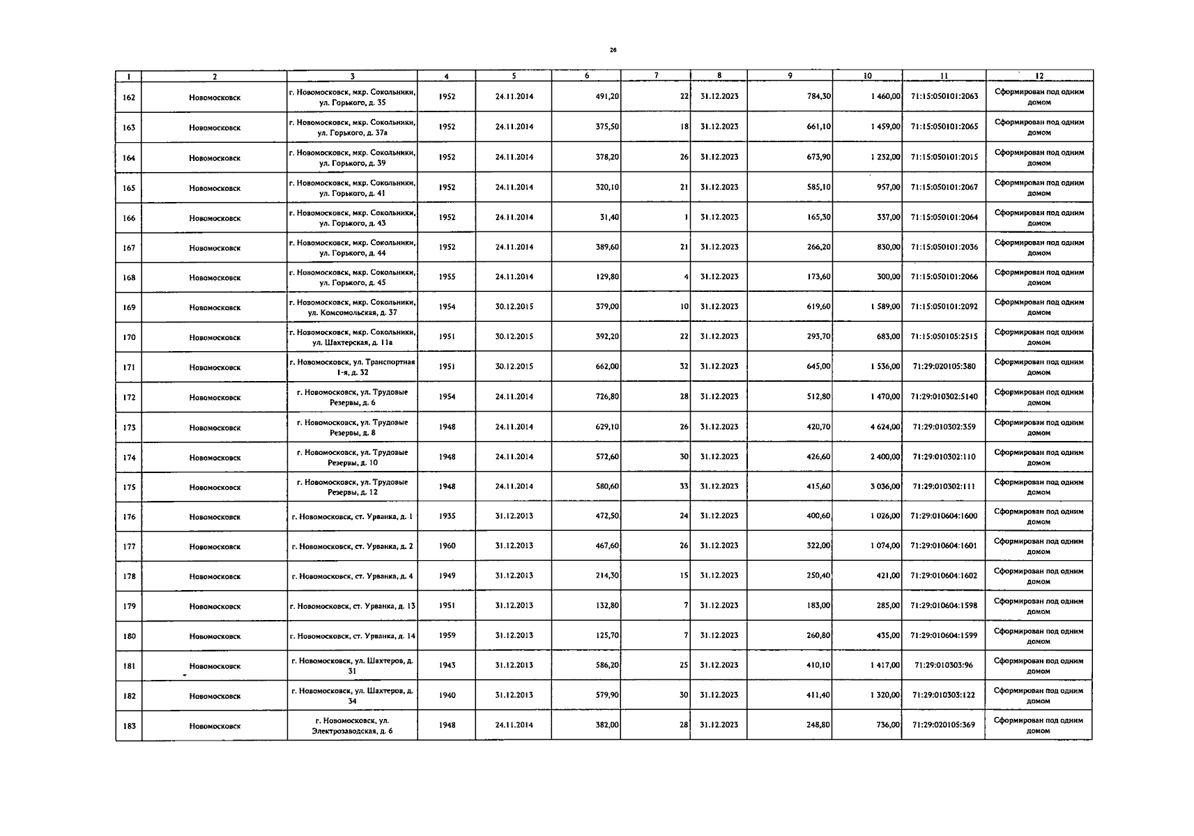
Постановление Правительства Тульской области от 29.01.2024 № 38
"О внесении изменения в постановление правительства Тульской области от 29.12.2018 № 598"
Номер опубликования: 7100202401300001
Дата опубликования: 30.01.2024
Страница №27 из 41:
Увеличить