Официальное опубликование правовых актов
ОФИЦИАЛЬНОЕ ОПУБЛИКОВАНИЕ
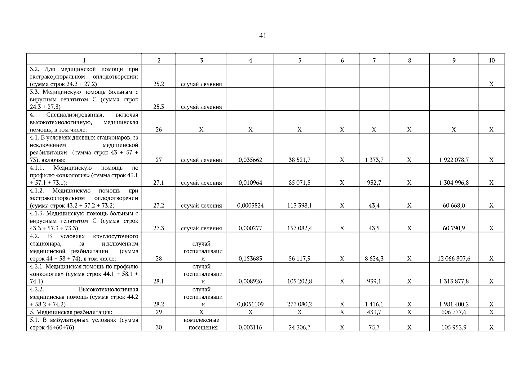
Постановление Правительства Тульской области от 29.12.2023 № 821
"О территориальной Программе государственных гарантий бесплатного оказания населению Тульской области медицинской помощи на 2024 год и на плановый период 2025 и 2026 годов"
Номер опубликования: 7100202312290029
Дата опубликования: 29.12.2023
Страница №126 из 318:
Увеличить