Постановление Правительства Тульской области от 01.03.2023 № 91
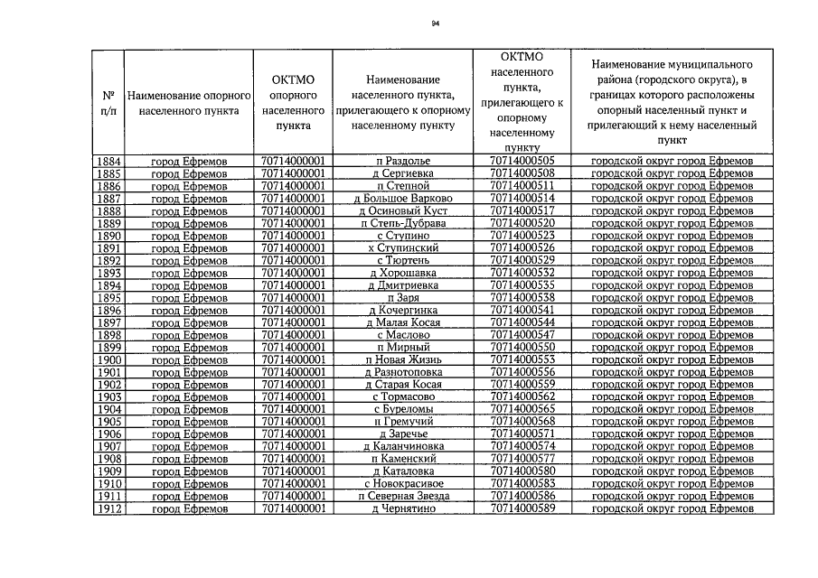
"Об утверждении Перечня опорных населенных пунктов, прилегающих населенных пунктов Тульской области"
"Об утверждении Перечня опорных населенных пунктов, прилегающих населенных пунктов Тульской области"
Номер опубликования: 7100202303010003
Дата опубликования:
01.03.2023
