Официальное опубликование правовых актов
ОФИЦИАЛЬНОЕ ОПУБЛИКОВАНИЕ
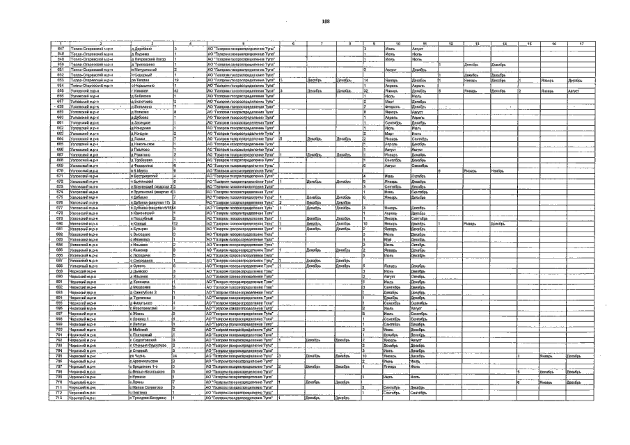
Постановление Правительства Тульской области от 05.12.2022 № 787
"О внесении изменений в постановление правительства Тульской области от 23.12.2021 № 852"
Номер опубликования: 7100202212050001
Дата опубликования: 05.12.2022
Страница №109 из 343:
Увеличить