Официальное опубликование правовых актов
ОФИЦИАЛЬНОЕ ОПУБЛИКОВАНИЕ
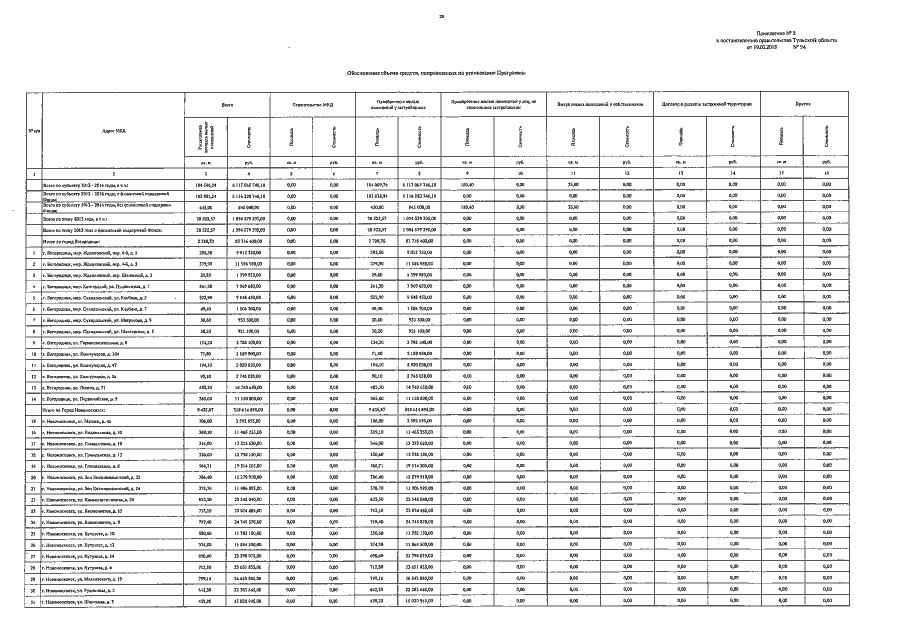
Постановление Правительства Тульской области от 13.09.2022 № 586
"О внесении изменений в постановление правительства Тульской области от 19.03.2018 № 94"
Номер опубликования: 7100202209140006
Дата опубликования: 14.09.2022
Страница №29 из 53:
Увеличить