Официальное опубликование правовых актов
ОФИЦИАЛЬНОЕ ОПУБЛИКОВАНИЕ
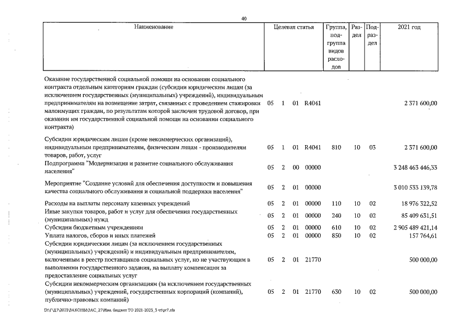
Закон Тульской области от 20.07.2021 № 69-ЗТО
"О внесении изменений в Закон Тульской области "О бюджете Тульской области на 2021 год и на плановый период 2022 и 2023 годов"
Номер опубликования: 7100202107220002
Дата опубликования: 22.07.2021
Страница №820 из 1055:
Увеличить