Официальное опубликование правовых актов
ОФИЦИАЛЬНОЕ ОПУБЛИКОВАНИЕ
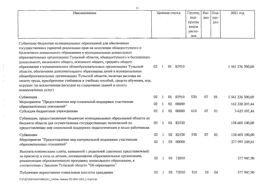
Закон Тульской области от 30.04.2021 № 45-ЗТО
"О внесении изменений в Закон Тульской области "О бюджете Тульской области на 2021 год и на плановый период 2022 и 2023 годов"
Номер опубликования: 7100202105050001
Дата опубликования: 05.05.2021
Страница №763 из 1038:
Увеличить