Официальное опубликование правовых актов
ОФИЦИАЛЬНОЕ ОПУБЛИКОВАНИЕ
Постановление Правительства Тульской области от 07.05.2020 № 207
"О внесении изменений и дополнений в постановление правительства Тульской области от 29.12.2018 № 598"
Номер опубликования: 7100202005080005
Дата опубликования: 08.05.2020
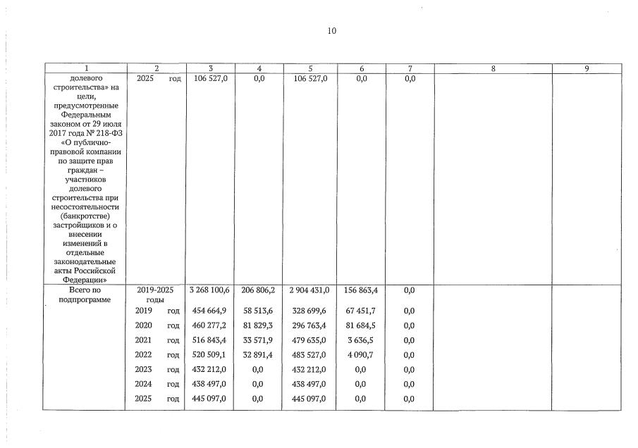
Страница №11 из 22:
Увеличить