Официальное опубликование правовых актов
ОФИЦИАЛЬНОЕ ОПУБЛИКОВАНИЕ
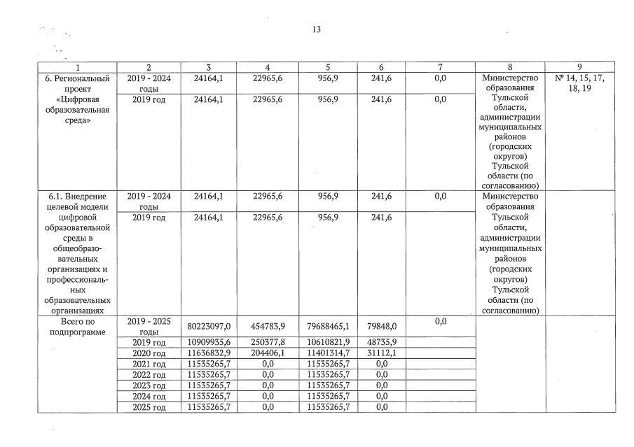
Постановление Правительства Тульской области от 12.11.2019 № 539
"О внесении изменений и дополнения в постановление правительства Тульской области от 01.02.2019 № 39"
Номер опубликования: 7100201911140001
Дата опубликования: 14.11.2019
Страница №14 из 39:
Увеличить