Официальное опубликование правовых актов
ОФИЦИАЛЬНОЕ ОПУБЛИКОВАНИЕ
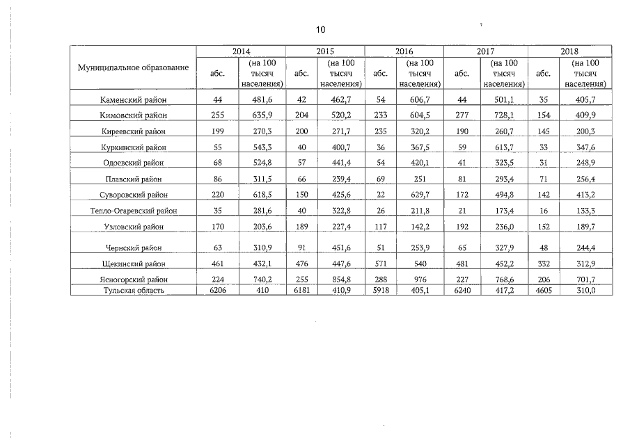
Постановление Правительства Тульской области от 27.06.2019 № 241
"Об утверждении региональной программы Тульской области "Борьба с сердечно-сосудистыми заболеваниями"
Номер опубликования: 7100201906280004
Дата опубликования: 28.06.2019
Страница №11 из 161:
Увеличить