Официальное опубликование правовых актов
ОФИЦИАЛЬНОЕ ОПУБЛИКОВАНИЕ
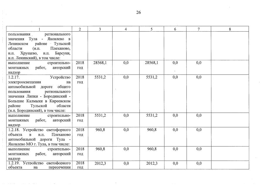
Постановление Правительства Тульской области от 29.06.2018 № 253
"О внесении изменений и дополнений в постановление правительства Тульской области от 20.11.2013 № 662"
Номер опубликования: 7100201807040006
Дата опубликования: 04.07.2018
Страница №27 из 153:
Увеличить