Официальное опубликование правовых актов
ОФИЦИАЛЬНОЕ ОПУБЛИКОВАНИЕ
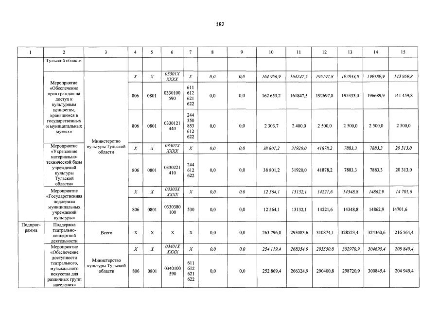
Постановление Правительства Тульской области от 06.04.2018 № 129
"О внесении изменений и дополнений в постановление правительства Тульской области от 05.11.2013 № 619"
Номер опубликования: 7100201804100005
Дата опубликования: 10.04.2018
Страница №183 из 237:
Увеличить