Официальное опубликование правовых актов
ОФИЦИАЛЬНОЕ ОПУБЛИКОВАНИЕ
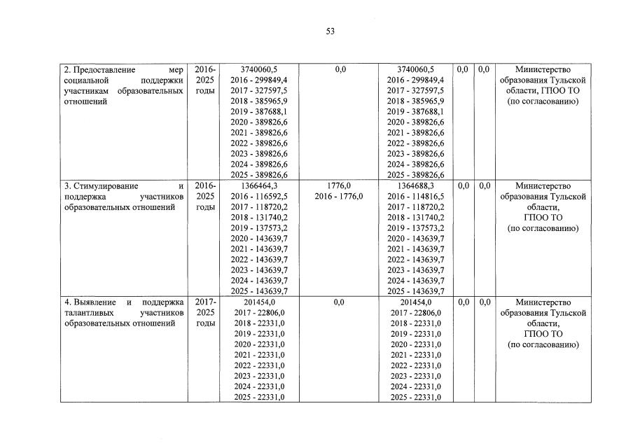
Постановление Правительства Тульской области от 24.01.2018 № 30
"О внесении изменений и дополнения в постановление правительства Тульской области от 19.11.2013 № 637"
Номер опубликования: 7100201801290003
Дата опубликования: 29.01.2018
Страница №54 из 272:
Увеличить