Официальное опубликование правовых актов
ОФИЦИАЛЬНОЕ ОПУБЛИКОВАНИЕ
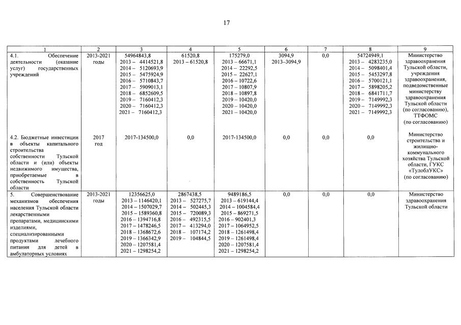
Постановление Правительства Тульской области от 02.11.2017 № 519
"О внесении изменений и дополнений в постановление правительства Тульской области от 20.08.2013 № 429 "Об утверждении государственной программы Тульской области "Развитие здравоохранения Тульской области"
Номер опубликования: 7100201711070005
Дата опубликования: 07.11.2017
Страница №18 из 140:
Увеличить