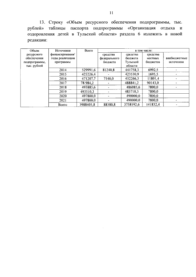
Постановление Правительства Тульской области от 25.09.2017 № 433
"О внесении изменений и дополнений в постановление правительства Тульской области от 24.10.2013 № 575"
"О внесении изменений и дополнений в постановление правительства Тульской области от 24.10.2013 № 575"
Номер опубликования: 7100201709290001
Дата опубликования:
29.09.2017
