Официальное опубликование правовых актов
ОФИЦИАЛЬНОЕ ОПУБЛИКОВАНИЕ
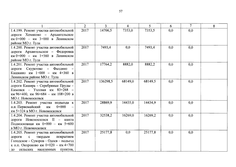
Постановление Правительства Тульской области от 12.07.2017 № 288
"О внесении изменений и дополнений в постановление правительства Тульской области от 20.11.2013 № 662"
Номер опубликования: 7100201707170004
Дата опубликования: 17.07.2017
Страница №58 из 329:
Увеличить