Официальное опубликование правовых актов
ОФИЦИАЛЬНОЕ ОПУБЛИКОВАНИЕ
Постановление Правительства Тульской области от 12.07.2017 № 288
"О внесении изменений и дополнений в постановление правительства Тульской области от 20.11.2013 № 662"
Номер опубликования: 7100201707170004
Дата опубликования: 17.07.2017
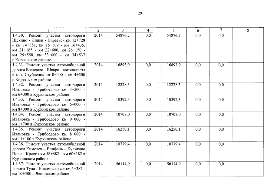
Страница №30 из 329:
Увеличить