Официальное опубликование правовых актов
ОФИЦИАЛЬНОЕ ОПУБЛИКОВАНИЕ
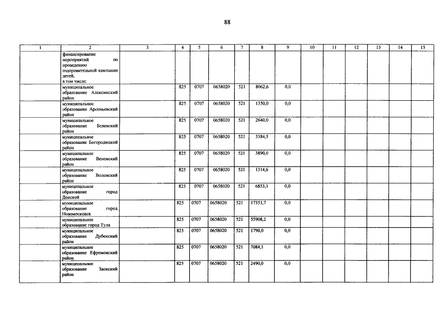
Постановление Правительства Тульской области от 29.12.2016 № 644
"О внесении изменений в постановление правительства Тульской области от 24.10.2013 № 575"
Номер опубликования: 7100201612300005
Дата опубликования: 30.12.2016
Страница №89 из 115:
Увеличить